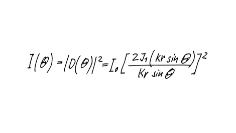
La teoría de Fraunhofer describe la porción de desviación de la luz que se produce exclusivamente como resultado de la difracción.

Si la luz cae sobre un obstáculo o una abertura, se producen efectos de difracción e interferencia. Si la luz incidente cae en paralelo (incluso los frentes de onda), entonces se habla de difracción de Fraunhofer. Esto es siempre el caso si la fuente de luz está en la infi nidad o es "desplazada" allí por una lente.

Dado que la desviación de la luz por difracción es dominante para las partículas suficientemente grandes, la teoría de Fraunhofer puede aplicarse para la medición del tamaño de las partículas en el rango micrométrico inferior. Una gran ventaja de la teoría de Fraunhofer es que no es necesario conocer las características ópticas del material analizado.

Software de FRITSCH 
El resultado real de la medición del tamaño de las partículas se proporciona sólo después de la evaluación con el software de FRITSCH suministrado. Dependiendo de las características y requisitos de las partículas, se aplican dos teorías de análisis comunes: la teoría de Fraunhofer para partículas más grandes cuyos parámetros ópticos no se conocen y la teoría de Mie para partículas más pequeñas con parámetros ópticos conocidos. En el software de FRITSCH, puede seleccionar fácilmente ambas teorías.