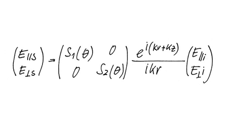
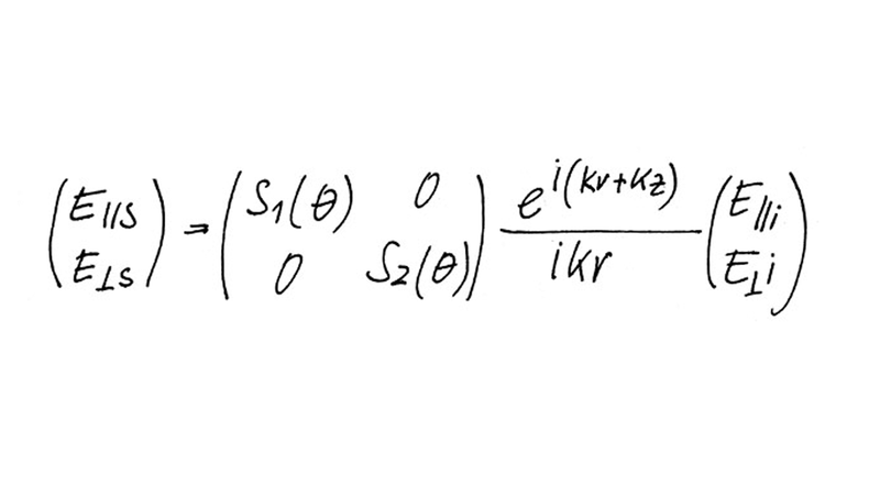
Cuando se ilumina una partícula muy pequeña con luz, la intensidad de la luz dispersa depende de la dirección hacia la que salga. Hablamos de la dispersión de Rayleigh.

No obstante, si el diámetro de la partícula sobrepasa un tamaño determinado, la intensidad de dispersión también depende de la dirección desde donde se mire (dispersión de Mie). Pero esto no funciona de la misma manera para todos los tamaños de partículas. Es decir, con las muestras de material plurimodales, las intensidades procedentes de las distintas fracciones no solo dependen del tamaño, sino también de las características ópticas (los parámetros de Mie). Para obtener las proporciones volumétricas y numéricas de una distribución de intensidades medida, aplicada contra el tamaño de la partícula, estos defectos deben tomarse en consideración con la corrección de Mie. Para ello es necesario conocer los índices de refracción y absorción de la muestra de material.